手机扫码,微信咨询!

环境电磁波卫生标准-辐射检测仪,辐射剂量仪,辐射巡测仪,辐射测量仪,辐射监测仪,辐射测试仪

电话:86-021-69515711
传真:86-021-69515712

成先生-上海仁日辐射防护 客服

联系我们
关注:仁日科技
关注仁日科技;获取辐射防护知识!
推荐产品
  •   REN400 多功能数字辐射仪

         REN400型多功能辐射检测仪是以内置高灵敏度盖格计数管为探测器,外接不同类型的探头来实现对低剂量χ、γ射线,高剂量χ、γ射线,α、β射线和中子射线的检测。作为多功能辐射巡测仪,能显示工作场所的辐射值,自动连续测量和记录280万条辐射剂量率数据,更换

  •   REN500A 辐射测量仪

         REN500A型智能化х、γ辐射仪(又叫环境监测用X、γ辐射空气比释动能(吸收剂量)率仪或便携式X、γ辐射周围剂量当量率仪)采用高灵敏的闪烁晶体作为探测器,反应速度快,具有较宽的剂量率测量范围。 该仪器除能测高能、低能γ射线外,还能对低能X射线进行准

  •   REN300A 固定式在线辐射监测报警仪

      REN300A在线辐射安全报警仪是一种新型的x-γ辐射连续监测报警装置,它采用特殊设计的前置放大电路,具有灵敏度高、操作方便、自动显示和超阈值报警等特点,能实时给出xγ辐射剂量率;仪器内置海量数据存储功能,能存储10年的历史数据且标配提供强大的RenLocal辐射监测数据分析软件。考虑

  •   REN500 便携式监测仪

          REN500型智能化χ、γ辐射仪采用高灵敏的闪烁晶体作为探测器,反应速度快, 和国内同类仪器相比,该仪器具有更宽的剂量率测量范围。 该仪器除能测高能、低能γ射线外,还能对低能X射线进行准确的测量,具有良好的能量响应特性。此外通过配套的Re

  •   REN300加REN-3He-N型 固定式中子伽玛报警装置

    本报警仪由REN300在线辐射安全报警仪和REN-3He-N中子探头和REN-NaI30伽玛探头组成。该辐射报警装置是采用特殊设计的前置放大电路,具有灵敏度高、操作方便、自动显示、数据存储和超阈值报警等特点,能实时给出x射线、γ射线、中子射线的辐射剂量率。考虑到现场操作、应急快速响应的需要,主机安装

  •   RenriDecayPool 伽马射线报警仪

         为了加强对放射性废液排放的监督管理,保障人体健康,保护环境,根据《中华人民共和国放射性污染防治法》《电离辐射防护与辐射源安全基本标准》《 医用放射性废物的卫生防护管理》等相关法规与标准的要求,考虑人为操作失误及放射性废液错误排放后可能引发的严重环境危

  •   REN-2GM-H 双GM管超高量程射线探头

    REN系列智能化辐射探头均可和REN300、REN300A、REN300B系列主机配套使用,也可以单独配套RenRiArea辐射区域监测软件使用。且具有RS485/RS232的通讯能力。所有探头均可单独外接报警灯,在超阈值的情况下就地给出声光报警。 1、测量射线类型:X、γ射线2、探测器:2个GM

  •   REN500L 辐射检测仪

    REN500L环境监测用X、γ辐射空气比释动能率仪采用超大尺寸、高灵敏的闪烁晶体作为探测器,反应速度快。主机内置探测器使得整机有更宽的测量范围。仪器满足《环境地表γ辐射剂量率测定规范》中低剂量部分的要求。该仪器除能测高能、低能γ射线外,还能对低能X射线进行准确的测量,具有良好的能量响应特性。此外通过

标准与法规

环境电磁波卫生标准

2005/12/27 15:57:00

环境电磁波卫生标准

中华人民共和国国家标准

UDC 614.898.5 GB 9175─88

Hygienic standard for environmental electromagnetic waves

本标准为贯彻《中华人民共和国环境保护法 (试行)》,控制电磁波对环境的污染、保护人民健康、促进电磁技术发展而制订。

本标准适用于一切人群经常居住和活动场所的环境电磁辐射,不包括职业辐射和射频、微波治疗需要的辐射。

1 各词术语

1.1 电磁波

本标准所称电磁波是指长波、中波、短波、超短波和微波。

1.1.1 长波

指频率为 100~300KHz,相应波长为3~1km范围内的电磁波。

1.1.2 中波

指频率为 300KHz~3MHz,相应波长为1km~100km范围内的电磁波。

1.1.3 短波

指频率为 3~3MHz,相应波长为100~10m范围内的电磁波。

1.1.4 超短波

指频率为 30~300MHz,相应波长为10~1m范围内的电磁波。

1.1.5 微波

指频率为 300MHz~300GHz,相应波长为1m~1mm范围内的电磁波。

1.1.6 混合波段

指长、中、短波、超短波和微波中有两种或两种以上波段混合在一起的电磁波。

1.2 电磁辐射强度单位

1.2.1 电场强度单位

对长、中、短波和超短波电磁辐射,以伏/米( V/m)表示计量单位。

1.2.2 功率密度单位

对微波电磁辐射,以微瓦/平方厘米( μW/cm 2 )或毫瓦/平方厘米(mW/cm 2 )表示计量单位。

1.2.3 复合场强

指两个或两个以上频率的电磁波复合在一起的场强,其值为各单个频率场强平方和的根值,可以下式表示:

式中: E──复合场强,V/m;

E 1 、E 2 ......En──各单个频率所测得的场强,V/m。

1.3 分级标准

以电磁波辐射强度及其频段特性对人体可能引起潜在性不良影响的阈下值为界,将环境电磁波容许辐射强度标准分为二级。

1.3.1 一级标准

为安全区,指在该环境电磁波强度下长期居住、工作、生活的一切人群(包括婴儿、孕妇和老弱病残者),均在会受到任何有害影响的区域;新建、改建或扩建电台、电视台和雷达站等发射天线,在其居民覆盖区内,必须符合 “一级标准”的要求。

1.3.2 二级标准

为中间区,指在该环境电磁波强度下长期居住、工作和生活的一切人群(包括婴儿、孕妇和老弱病残者)可能引起潜在性不良反应的区域;在此区内可建造工厂和机关,但在许建造居民住宅、学较、医院和疗养院等,已建造的必须采取适当的防护措施。

超过二级标准地区,对人体可带来有害影响;在此区内可作绿化或种植农作物,但禁止建造居民住宅及人群经常活动的一切公共设施,如机关、工厂、商店和影剧院等;如在此区内已有这些建筑,则应采取措施,或限制辐射时间。

2 卫生要求

环境电磁波许辐射强度分级标准见下表。

波长

单位

容许场强

一级 ( 安全区 )

二级 ( 中间区 )

长、中、短波

V / m

〈 10

〈 25

超短波

V / m

〈 5

〈 12

微波

μW / cm 2

〈 10

〈 40

混合

V / m

按主要波段场强;若各波段场分散,则按复合场强加权确定

3 监测检验方法

本标准环境电磁波容许辐射强度监测检验方法见附录 A。

4 监督执行

各级卫生防疫站或各级环境卫生监测站负责监督本标准的执行。

附 录 A

环境电磁波测量规范

(补充件)

A.1 适用范围

本规范适用于放辐射源所产生的环境电磁波,其频率覆盖范围:长、中、短波( 100kHz~30MHz),超短波(30MHz~300MHz),及微波(300MHz~300GHz)。

A.2 规范内容

A.2.1 测量方式

根据不同需要与目的,应用不同的测量方式,对已建台和扩建台,为调查辐射源周围环境电磁波辐射强度,及其分布规律,常以辐射源为中心,在不同方位取点的方式进行测量,简称点测;为全面调查某地区环境电磁波的背景值及按人口调查居民人群所受辐射强度的测量简称面测。

A.2.1.1 点测时以辐射源为中心,将待测区按5°~10°角度划线,呈扇形展开。随此划线,近区场以每隔5~20min定点测量,远区场以每隔50~100m定点测量,或按特殊需要选点测量。

A.2.1.1.1 简易测量:一般用各向同性探头的宽频段场强仪测定之,如探头为非各向同性者,则分别测定各不同极化方向的场强值,取其矢量和。

A.2.1.1.2 面测量,将待测地区(城市)按人口统计划分若干小区,并标明各小区居民重心地理坐标,从中选择若干有代表性的小区作为监测点,测量仪器应用环境电磁波自动监测系统,实现各频段自动扫描、自动测量和实时处理。然后根据各小区人口数量进行加权,求出该地区(城市)居民环境电磁波暴露强度累加百分数。

A.2.2 测量位置

A.2.2.1 旷野平坦地面环境测量一般以人的高度,即1.7m左右处测定,如为待建地段,则应在待建建筑物相应高度处测定。

A.2.2.2 建筑物内部测量,应以不同层次选择有代表性的若干点分别测定之。

A.2.3 测量仪器

辐射源周围的测量,应选用灵敏度 ≤1V/m,或≤1μW/cm 2 ,精度≤│2DB│的场强仪;区域性背景场强测量,应选用宽频带天线、频谱分析仪和电子计算机配套的自动处理系统。

A.2.4 测量记录整理

除记录全部测量数据外,还应包括:测量地点、测量地点、测量时间、测量日期、测量仪器、天线高度及参加测量人员等。

A.2.5 场强计算

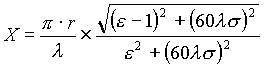
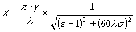
按公式计算,主要供新建广播电台、电视台、雷达站、地面卫星站等地点选择和建立卫生防护带作根据。

A.2.5.1 长、中波(垂直极化波)场强计算公式:

………………………………………………(A1)

F=1.41·(2+0.3X)/(2+X+0.6X 2 ).......................(A 2 )

…………………………………………(A3)

式中: P──发射机功率,KW;

r──被测点与发射天线的距离,Km;

G──相对于接地基本振子的天线增益,DB;

F──地面的衰减系数;

X──数量距离;

λ──波长,m;

ε──介电常数;

δ──导电系数,1/Ω·m。

A.2.5.2 短波(水平极化波)场强计算公式:

短波 (水平级化波)场强计算公式同式(A 1 )、(A 2 ),但其中X按式(A4)计算:

……………………………………………(A4)

A.2.5.3 电视、调频超短波场强计算公式

……………………………………………(A5)

式中: P──发射机功率,KW;

G──相对于半波偶极子的天线增益,DB;

r──被测点与发射天线的距离,Km;

F(θ)──天线垂直面方向性函数(视天线型式和层数而异)。

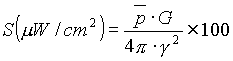
A.2.5.4 雷达等微波功率密度S计算公式:

……………………………………………(A6)

式中 : ── 发射机平均功率, W ;

G──天线增益,DB;

r──天线与被测点距离,m。

A.2.6 计量单位的换算

电场强度与功率密度在远区场中的换算公式

S=E 2 /377...................................(A 7 )

式中: S──功率密度,W/m 2 ;

E──电场强度,V/m。

附加说明:

本标准由浙江医科大学负责起草,由南京医学院、北京医科大学、同济医科大学参加起草。

本标准主要起草人姜槐、邵斌杰、施浚人。

本标准由卫生部委托技术归口单位中国预防医学科学院环境卫生监测所负责解释。

GB 9175-88

环境电磁波卫生标准 的相关产品:
  • REN500H辐射防护用X、γ辐射剂量当量(率)仪

    产品名称:REN500H辐射防护用X、γ辐射剂量当量(率)仪

    产品描述:REN500H辐射防护用X、γ辐射剂量当量(率)仪是监测各种高剂量放射性工作场所的辐射剂量率专用仪器。仪器满足《环境地表γ辐射剂量率测定规范》中高剂量部分的要求。该仪器除能测高能γ射线外,还能对低能X射线进行准确的测量,具有良好的能量响应特性。此外通过配套的RenRiRate辐射剂量管理软件可将存储

  • REN300B型在线辐射安全报警仪

    产品名称:REN300B型在线辐射安全报警仪

    产品描述:REN300B在线辐射安全报警仪是一种新型的x-γ辐射连续监测报警装置,它采用特殊设计的前置放大电路,具有灵敏度高、操作方便、自动显示和超阈值报警等特点,能实时给出xγ辐射剂量率。考虑到现场操作、应急快速响应的需要,主机安装在辐射现场,实现实时监测与就地报警,通过RS485通讯实现总控制室自动监控。

  • X射线防护铅服,铅衣,铅裙,铅帽,铅眼镜,铅手套,铅脚套、铅头盔

    产品名称:X射线防护铅服,铅衣,铅裙,铅帽,铅眼镜,铅手套,铅脚套、铅头盔

    产品描述:一、长袖、半袖、无袖射线防护服   1、防护铅皮:柔软防护材料;  2、防护性能佳:铅分布均匀;提供0.35/0.5mmPb铅当量; 耐磨、易清洗表面材料  3、结构设计:采用多层材料制作,加上专业的人性化结构设计,让您穿戴舒适;  4、 精密制作工艺:做工精

  • REN-GM-H型GM管高量程射线探头

    产品名称:REN-GM-H型GM管高量程射线探头

    产品描述:      REN系列智能化辐射探头均可和REN300、REN300A、REN300B系列主机配套使用,也可以单独配套RenRiArea辐射区域监测软件使用。且具有RS485/RS232的通讯能力。所有探头均可单独外接报警灯,在超阈值的情况下就地给出

  • REN系列智能化辐射探头

    产品名称:REN系列智能化辐射探头

    产品描述:REN系列智能化辐射探头均可和REN300、REN300A、REN300B系列主机配套使用,也可以单独配套RenRiArea辐射区域监测软件使用。且具有RS485/RS232的通讯能力。所有探头均可单独外接报警灯,在超阈值的情况下就地给出声光报警。  (一)REN-GM-L型 GM管

  • 铅屏风、铅衣架、电离辐射警示牌、分源防护屏、铅箱、注射器防护套、报警灯

    产品名称:铅屏风、铅衣架、电离辐射警示牌、分源防护屏、铅箱、注射器防护套、报警灯

    产品描述:单联移动式防护屏风 1、规格尺寸:  H×W:1800×900 (mm)2、商品描述:  上部铅有机玻璃的高度为   H×W:240×240 (mm)3、铅当量:  铅玻璃0.5mmPb,  下部分铅当量为0.5mmpb4、外饰材料:碳素钢板喷